【产品介绍】
TB型双金属片温调式蒸汽疏水阀是利用热静力双金属片的温度效应驱动阀门开关。启动时,阀门全开,可以排放系统内大量凝结水及不可凝气体。当系统达到蒸汽温度时,高温使双金属片变形,拉动疏水阀阀杆关闭阀门。阀门在双金属片冷却之前保持关闭状态,随着双金属片变冷,阀门开启小缝放出不凝性气体及凝结水,达到蒸汽温度时再关闭。适用于散热器、换热器、夹套锅、加热盘管、烘干机、消毒器、层压机等。
【执行标准】
设计规范:GB/T 9093结构长度:GB/T 12250
螺纹连接:ISO 228
法兰连接:JB/T 79,GB 9113,ANSI B16.34
试验与检验:GB/T 13927
产品标识:GB/T 12220
供货规范:JB/T 7928
【产品特点】
采用进口热敏感材料,灵敏度高坚固耐用;阀前始终有凝结水形成水封效果,无新鲜蒸汽泄漏;
排气性能好,抗水击;
可任意角度安装;
可选法兰和螺纹连接方式。
【产品型号】
TB3、TB5、TB6、TB11TB3F、TB5F、TB6F、TB11F
TB3W、TB5W
【主要技术参数和结构长度】

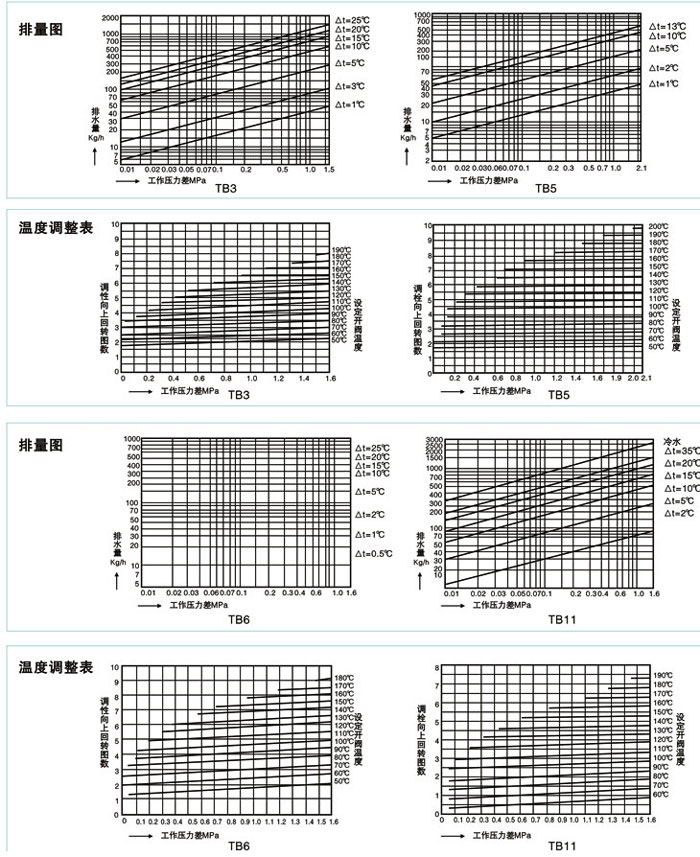
【排量图】

【结构图片】
声明:本文中所有文字、数据、图片均适用于参考,TB型双金属片温调式蒸汽疏水阀的具体性能参数、结构尺寸参数、价格等详情,请联系我们的销售、技术工程师,电话:021-5266 6877。

