【产品介绍】
CS47、CS17型双金属片温调式蒸汽疏水阀利用热传感原理排放过冷凝结水,能够处理大的启动负荷。当系统温度和压力增大时,疏水阀的叠层式镍-铬双金属元件开始延展,当蒸汽到达疏水阀时紧闭阀门从而防止了蒸汽损失。他们是最坚固的热静力疏水阀,能抗水锤和防凝结水腐蚀。最大排量可达9000千克/小时。适用于蒸汽伴热管线、容器加热管线、容器加热、设备保温、小型蒸汽设备。
【执行标准】
设计规范:GB/T 9093结构长度:GB/T 12250
螺纹连接:ISO 228
法兰连接:JB/T 79,GB 9113,ANSI B16.34
试验与检验:GB/T 13927
产品标识:GB/T 12220
供货规范:JB/T 7928
【产品特点】
采用进口热敏感材料,灵敏度高坚固耐用;阀前始终有凝结水形成水封效果,无新鲜蒸汽泄漏;
排气性能好,抗水击;
可任意角度安装;
可选法兰和螺纹连接方式。
【产品型号】
TB3、TB5、TB6、TB11TB3F、TB5F、TB6F、TB11F
TB3W、TB5W
【主要技术参数和结构长度】

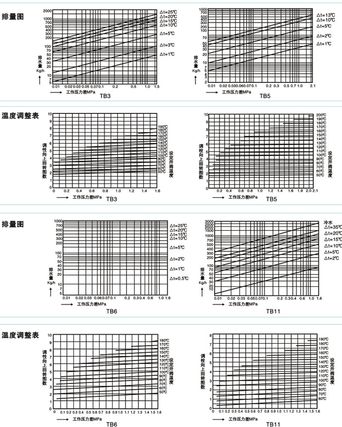
【排量图】

【结构图片】
声明:本文中所有文字、数据、图片均适用于参考,CS47、CS17型双金属片温调式蒸汽疏水阀的具体性能参数、结构尺寸参数、价格等详情,请联系我们的销售、技术工程师,电话:021-5266 6877。

